【石墨化度】负极材料的隐形标尺,如何计算与优化?
电动汽车和储能行业快速发展,带动了高性能锂电池需求的增长,也推动了优质石油焦和人造石墨的市场。煅烧石油焦的质量和粒度直接影响人造石墨性能,尤其在锂电池负极生产中下尤为重要。
【石墨化度】负极材料的隐形标尺,如何计算与优化?
在锂离子电池的核心组件中,负极材料如同“能量仓库”,其性能直接决定了电池的容量、周期和稳定性。而衡量负极材料质量的关键指标之一,便是石墨化度。这一看似晦涩的参数,实则是行业技术竞争的隐形战场。
无论是天然石墨、人造石墨,还是新兴的硅碳复合材料,石墨化度的高低直接决定了材料的导电性、结构稳定性及锂离子嵌入效率。那么,石墨化度究竟如何计算?它又如何影响电池性能?本文将从原理到应用,为您揭开这一技术指标的面纱。
什么是石墨化度?
石墨化度,即碳原子形成密排六方石墨晶体结构的程度,其晶格尺寸越接近理想石墨的点阵参数,石墨化度就越高。而越高的石墨化度,说明其晶格更加稳定。例如锂电池负极材料-石墨,它的石墨化度越高,更能保证石墨负极在长循环过程中结构不被破坏。
石墨化度的核心意义:
① 高石墨化度(>90%):材料导电性强,倍率性能优异,但成本较高;
② 低石墨化度(<80%):结构缺陷多,锂离子扩散阻力大,但成本低廉。
在动力电池领域,人造石墨因石墨化度可控(通常为90%-98%)成为主流选择;而消费电子领域则更倾向成本更低的天然石墨(石墨化度约80%-90%)。
如何计算石墨化度?三大主流方法解析
石墨化度的计算需基于材料的结构表征数据,目前行业主要采用以下三种方法:
1. X射线衍射法(XRD)
原理:通过测量石墨的(002)晶面衍射峰位置和半峰宽,计算层间距(d002),再与理想石墨的层间距(0.3354 nm)对比。
公式:

优势:运行简便、数据直观,适用于批量测试。
局限:无法区分微晶尺寸和缺陷类型,对非石墨化碳敏锐度低。
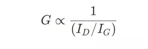
2. 拉曼光谱法(Raman)
原理:通过分析碳材料的D峰(缺陷峰,~1350 cm⁻¹)和G峰(石墨峰,~1580 cm⁻¹)强度比(ID/IG),间接评估石墨化度。
公式:
优势:可测试微观缺陷,适用于纳 米级材料分析。
局限:需建立特定材料的校准曲线,定量精度依赖经验模型。
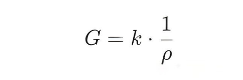
3. 电阻率法
原理:石墨化度越高,材料电阻率越低。通过测量压实密度下的电阻率,反推石墨化度。
公式:
(k为经验系数,ρ为电阻率)
优势:快速、低成本,适合产线实时监控。
局限:受材料纯度、孔隙率影响较大,需定期校准。
石墨化度优化:工艺与成本的博弈
提高石墨化度的核心在于高温热处理(石墨化炉),但工艺成本高昂。以人造石墨为例,其生产流程包括:
石油焦/针状焦 → 粉碎 → 造粒 → 石墨化(2800-3000℃) → 包覆改性
其中,石墨化环节能耗占生产成本的40%-50%。行业正通过以下技术减低门槛:
- 连续石墨化技术:减少间歇式炉的能耗损失,增加效率30%以上;
- 催化石墨化:添加铁、镍等催化剂,将石墨化温度降到2000℃以下;
- 结构设计:通过包覆、掺杂减少表面缺陷,间接提高有效石墨化度。
行业趋势:高石墨化度材料的“突围战”
随着动力电池对高能量密度、快充需求的提高,高石墨化度负极材料(>95%)成为研发焦点:
- 宁德时代:推出“第二代人造石墨”,石墨化度达98%,循环周期提高20%;
- 贝特瑞:通过“颗粒整形+表面修饰”技术,在95%石墨化度下实现低成本量产;
- 硅碳负极:石墨化碳层作为缓冲基体,可兼容硅的高容量特性,成为下一代技术方向。
然而,高石墨化度材料的规模化应用仍面临挑战:
1. 成本压力:石墨化电费占材料总成本30%,亟需低碳工艺突破;
2. 性能平衡:过度追求石墨化度可能牺牲材料的孔隙率和锂离子扩散速率。
石墨化度——负极行业的“度量衡”与未来
石墨化度不仅是评价负极材料性能的标尺,更是行业技术升级的风向标。从XRD的实验室分析,到产线的电阻率监控,计算方法的进步正推动这一指标从“理论参数”走向“生产指导”。未来,随着连续石墨化、催化工艺的成熟,高性价比的高石墨化度材料有望成为市场主流,为锂电行业注入新动能。
欢迎随时联系我们,获取有关负极市场的进一步信息。我们的团队致力于为您提供深度见解和根据您的需求量身定制的帮助。无论您对产品规格、市场趋势还是定价有何疑问,我们都会竭诚为您解答。
没有找到相关结果



0 个回复